Solid state discussions
Typo Solutions LCAO model
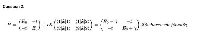
Site Feedback
cboonstra
March 8, 2022, 8:21pm
1
Feedback: Text isnt right
Solutions → LCAO model → Ex 3.2
image
1552×280 15.7 KB
anton-akhmerov
March 8, 2022, 10:15pm
2
Thanks, should be fixed in a moment.