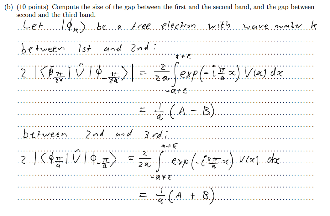
Hi, in minitest 2019 question 2b the magnitude of the bandgaps was set up as follows:
while in the lecture notes it says this
so I assume that W = <k|V|k’> is the magnitude of the bandgap? In which case I have the further question: why is there a factor 2 in the answer for the minitest? as in, where does the 2 appear from in the line 2 <\phi|V|\phi> = …

