Hi!
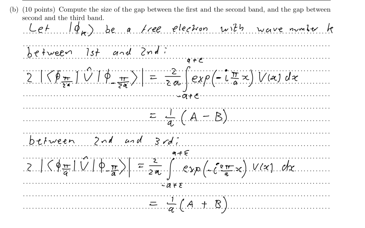
While doing exercise 2 from minitest 3 of 2019 I do not exactly know why they multiply the bands with 2 and how you know the integral bounds.
Could someone maybe explain this to me? Thanks in advance ![]()
Hi!
While doing exercise 2 from minitest 3 of 2019 I do not exactly know why they multiply the bands with 2 and how you know the integral bounds.
Could someone maybe explain this to me? Thanks in advance ![]()
Nevermind I see in the lecture notes that the bandgap width is 2W and I guess that the integral is taken that way so you integrate over the full period of the function ![]()