Hi, I’m a bit confused by this piece of code about the electron chain.
I suppose you are trying to make the following matrix to diagonalize?
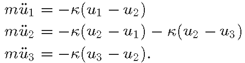
How does the code follow from this matrix? It looks like you copied the code from the figure above and only refrained from changing the [0,0] and [-1,-1] elements. However this matrix has different coefficients for the different diagonals, E_0 and -t, instead of \frac{\kappa}{m} for all matrix elements.
Also, if I’m not mistaken the equations of motion do not match the definitions of u_1, u_2 and u_3 in the picture. If u_2 increases m\ddot u should decrease with this definition.



